Versauerung der Ozeane beschleunigt sich

Veröffentlicht am 24.11.2025

In einer aktuellen Studie der Fachzeitschrift Journal of Sea Research untersuchte ein internationales Forschungsteam den mittleren pH-Wert der Ozeane als Maß für den Säuregehalt des Meerwassers. Ihr wichtigstes Ergebnis: Infolge des Klimawandels beschleunigt sich die Abnahme des pH-Wertes. Damit beschleunigt sich auch die Versauerung der Ozeane. Eine weitere Erkenntnis ist die Abnahme des Sättigungsgrades von Aragonit und Kalzit, zwei Formen von Kalziumkarbonat, die von vielen marine Organismen für die Bildung ihrer Kalkschalen und Skelettstrukturen verwendet werden.

Zusammenhang mit dem Klimawandel
Seit Beginn der Industrialisierung steigt der Anteil von Kohlendioxid in der Atmosphäre durch menschliche Emissionen kontinuierlich. Ein großer Teil dieses Kohlendioxids wird von den Ozeanen aufgenommen. Wenn Kohlendioxid ins Meerwasser gelangt, reagiert es mit Wasser zu Kohlensäure. Diese spaltet sich auf in Wasserstoff- und Hydrogenkarbonat-Ionen. Die Folge ist, dass der pH-Wert im Meerwasser sinkt und die Versauerung der Ozeane vorangetrieben wird.

Daten und Methoden
Die Studie verwendete einen Datensatz des Copernicus Marine Environment Monitoring Service (CMEMS), d. h. monatliche globale Daten zu mehreren Kohlenstoffvariablen mit einer räumlichen Auflösung von etwa 30 Kilometern ab dem Jahr 1985. Der Datensatz kombiniert Messungen vor Ort, satellitengestützte Beobachtungen und Ergebnisse biogeochemischer Modelle. In der Studie wurden verschiedene statistische Methoden wie beispielsweise Trendanalysen und Klassifikationstechniken benutzt, um die Versauerung der Ozeane zu untersuchen. 

Ergebnisse
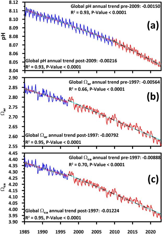
Die wichtigsten Ergebnisse sind in der Abb. 1 zusammengefasst. Die Grafik zeigt die Veränderung des pH-Werts des Oberflächenwassers der Ozeane und die damit verbundene Abnahme der Sättigung von Aragonit und Kalzit im Verlauf des 20. und 21. Jahrhunderts. 

Bild
Globale durchschnittliche Trends der Ozeanversauerung von 1985 bis 2020. (a) pH-Wert des Meeresoberflächenwassers: Wendepunkt 2009: jährlicher Trend −0,00150 vor 2009, −0,00216 nach 2009. (b) Aragonit-Sättigungsgrad, Wendepunkt 1997: jährlicher Trend −0,00564 vor 1997, −0,00792 nach 1997. (c) Kalzit-Sättigungszustand, Wendepunkt 1997: jährlicher Trend −0,00888 vor 1997, −0,01224 nach 1997.

Abb. 1: Globale durchschnittliche Trends der Ozeanversauerung von 1985 bis 2020. (a) pH-Wert des Meeresoberflächenwassers: Wendepunkt 2009: jährlicher Trend −0,00150 vor 2009, −0,00216 nach 2009. (b) Aragonit-Sättigungsgrad, Wendepunkt 1997: jährlicher Trend −0,00564 vor 1997, −0,00792 nach 1997. (c) Kalzit-Sättigungszustand, Wendepunkt 1997: jährlicher Trend −0,00888 vor 1997, −0,01224 nach 1997. Quelle: Journal of Sea Research, abgerufen am 24.11.2025.

Die Abb. 1 illustriert auf der X-Achse die Zeit und auf der Y-Achse den pH-Wert der Ozeane sowie den Sättigungsgrad von Aragonit und Kalzit. Es ist ein deutlicher Rückgang des pH-Werts mit einer Beschleunigung ab 2009 zu erkennen. Parallel verläuft der Abfall der Sättigung beider Kalkminerale mit einer Beschleunigung ab 1997. 

Folgen
Die Abnahme des pH-Werts sowie die Verringerung der Sättigung von Aragonit und Kalzit im Meereswasser haben gravierende Folgen für die marinen Ökosysteme. Besonders stark betroffen sind Korallenriffe, die die Heimat von rund einem Viertel aller marinen Arten sind. Eine sinkende Sättigung verringert die Fähigkeit der Korallen, ihre Kalkskelette zu bilden, was das Wachstum erheblich einschränkt. Aber nicht nur Korallen sind betroffen: Auch Kalkalgen, Muscheln, Schnecken und Seeigel, die ebenfalls Kalziumkarbonat für ihre Schalen benötigen, haben zunehmend Schwierigkeiten, ihre Schutzhüllen aufzubauen. In einigen Regionen der Erde werden bereits Auswirkungen auf die Fischerei und die Ernährungssicherheit beobachtet, da diese Organismen eine wichtige Nahrungsquelle für viele andere Meerestiere und auch für den Menschen darstellen.